MATEMÁTICAS I (IES LOS ALCORES)
Correo: lruizmates@gmail.com HAY ACTIVIDAD EN THATQUIZ
Etiquetas
Derivadas
Examenes
Recuperación
tarea moodle
viernes, 29 de mayo de 2020
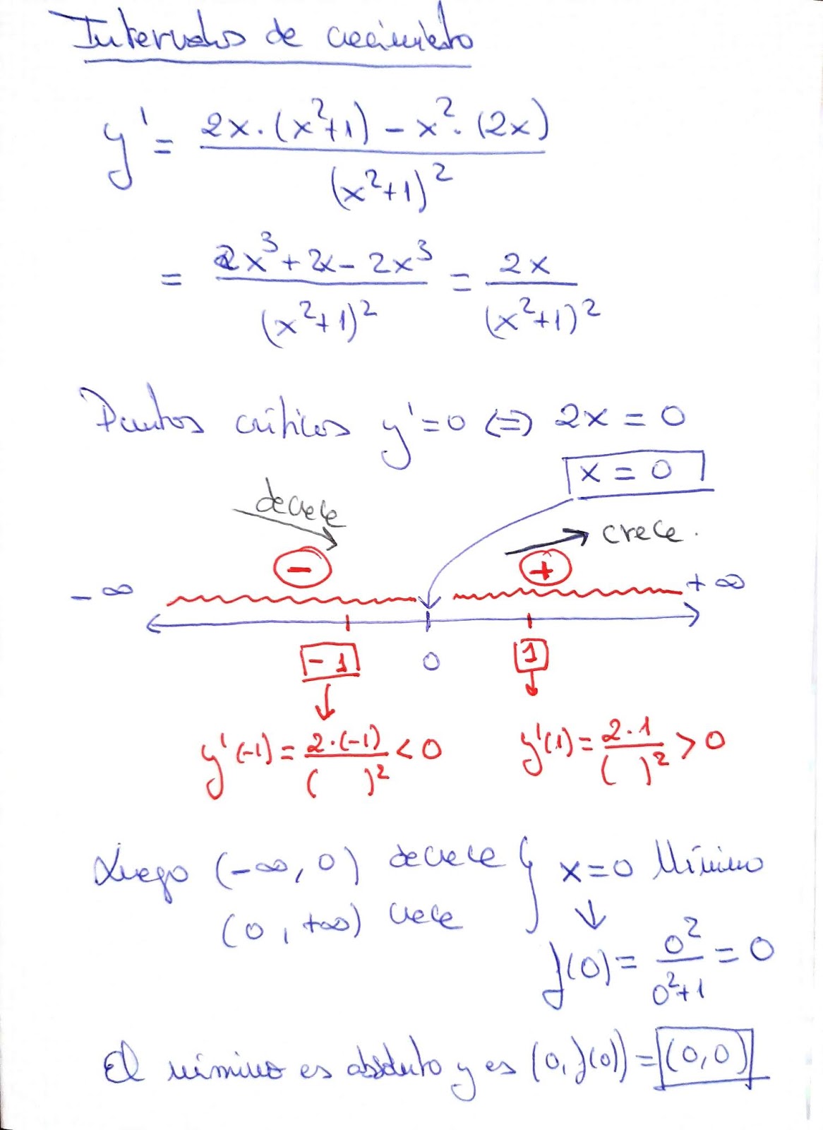
Pg 318:Funciones racionales
Buenas tardes,
Corregimos Pg 318 2) c)
No hay comentarios:
Publicar un comentario
Entrada más reciente
Entrada antigua
Inicio
Suscribirse a:
Enviar comentarios (Atom)
No hay comentarios:
Publicar un comentario